Introduction
Some particle size instruments determine size for individual particles. They are single particle counters. Some instruments determine surface area as a function of particle size. Some instruments determine mass or volume vs size. And some instruments determine various functions of scattered light intensity as a function of size. All can produce particle size distributions. And, in principle, one can transform from one type to the other in order to compare results. For example, if a measurement with a single particle counter produced a differential number-weighted size distribution and you wanted to compare the results to a measurement with another type of instrument that produced a differential volume-weighted size distribution, what would you do?
Transform One Weighting To Another
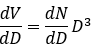
You could convert the differential number-weighted distribution to a differential volume-weighted distribution or the other way around. How do you do that? It’s easy. For each size class in the discrete Number Fraction/(Size Class) distribution*, multiply the number or count by the diameter cubed (spheres are assumed). In the case of discrete distributions, the diameter to be cubed is most likely the midpoint of the size class. The end result is a discrete Volume Fraction/(Size Class) distribution. And to convert a continuous differential number-weighted distribution into a continuous differential volume-weighted distribution, multiply by D3. The end result is a continuous volume-weighted differential distribution. Of course the initial numerical values will not be normalized, but that is easy to remedy. Here is a simple example using continuous distributions:

The bell-shape curves are the differential distributions weighted by number, dN/dD, or by volume, dV/dD. The sigmoidal curves are the cumulative distributions weighted by number, CN(D), or by volume, CV(D).
Perhaps the initial measurement determined dV/dD, from which by integration CV(D) was determined. Then, to determine the unnormalized dN/dD, use the following formula:

At each y-value of the differential volume-weighted distribution, divide by D3. Find the maximum value in the resulting set of unnormalized numbers. Then determine the factor that will make that value 100. Apply the same factor to all the other unnormalized values. Now the differential number distribution is normalized.
Relationship Amongst Transformed Distributions
Notice that dV/dD is always shifted to the right, towards larger D’s, than dN/dD. Likewise, the cumulative distributions are shifted in a similar fashion. The modal diameter—corresponding to the peak in the differential distribution—and the median diameter— equal to the diameter at 50% of the cumulative distribution–of the volume distribution is always higher than the corresponding ones in the number distribution.
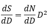
If these were nonporous particles**, then the surface area-weighted differential distribution, dS/dD, is related to the number-weighted by the following simple equation:

And the curves when normalized and plotted would sit between the number- and volume-weighted for both the differential and cumulative representations.
First Warning: Which Weighting Was It?
If someone says the median diameter is 10.0 nm and it’s a broad distribution, if you don’t ask what the weighting was, you are missing a lot of information. In the graph above, the number median diameter is 10.0 nm and it is a broad distribution; yet, the volume median diameter is 42.3 nm and a large fraction by volume of the particles are well above 10.0 nm.
Second Warning: Transformations Can Be Dangerous
Look again at the graph. Notice the two arrows, one at the base of each differential distribution. A relatively small volume of particles in the left-hand tail of dV/dD is responsible for a large portion of the dN/dD distribution; likewise, a relatively small number of large particles in the right-hand tail of dN/dD is responsible for a large portion of the dV/dD distribution. This situation is often a prelude to disaster. The reader probably assumed that all the particles were used in calculating the results as shown. Indeed, the author did exactly that. But in real measurements, this is usually not the case: the information in the tails of the differential distribution is often not accurately known.
In counting experiments, one tends to under count a relatively few large particles. But, these are the very ones that dominate the volume distribution. Therefore, the calculated volume distribution is shifted much too low. And in experiments that use scattered or diffracted light, the small particles don’t contribute much to the signal. Thus, they are under represented in the distribution with the most natural weighting (intensity-weighted in this case). Therefore, the calculated number distribution is often shifted much too high. Transformations, though simple algebraically, may be very inaccurate for these reasons.
Another Example Using a Bimodal Distribution:

The peak centered on 90 nm has a much smaller relative number of particles than the peak centered on 25 nm. In addition, the 90 nm peak is narrower. When the transformation is made to surface area-weighted, it should not be surprising that the amount by surface area has shifted to the larger sizes: 35.8% by surface area centered on 35 nm mode and 64.2% by surface area centered on 90 nm mode.

Since the 90 nm peak was narrow, it is not surprising that it remains the mode. Whereas, the lower peak is somewhat broad and just like the case of the broad unimodal distribution examined earlier, the entire peak shifts to the right.
Finally, the volume-weighted distribution continues the trend:

The larger peak centered on 90 nm contains, by amount, most of the volume; whereas, it contains the least by number.
Notice the cumulative distributions have a plateau. This is characteristic of multimodal distributions. Either from a corresponding tabular presentation or from the graph, you can read off the amount in each peak by finding the plateau value.
Which Weighting Should I Use To Best Present My Data?
Sometimes the answer is dictated by the field of you are in: when measuring blood, sperm, or micro-contaminates, the absolute number per unit volume is required. Use a single particle counter and stay with the number distribution. If the particles are used by mass, use the volume distribution (here the assumption is all the particles have the same density; if not the volume and mass distributions are no longer equal).
Summary
As important as it is to know if the “size” is a true, spherical diameter or radius, or an equivalent spherical size determine by the measurement technique, it is equally important to know if the distribution is weighted by number, surface area, volume-mass, or intensity. Without this information, you really don’t know what emphasis to put on the results.
It can’t be emphasized enough that while the algebra for transforming one distribution to another is simple enough, it is the assumption that all the particles have been measured that is usually wanting. Common errors include missing a significant but relatively small fraction of large particles that carry most of the volume and mass of the distribution while counting particles; and missing a significant but relatively large number of small particle that carry most of the numberweighted information, because they don’t contribute much to the intensity of scattered light.
*For a definition of Fraction/(Size Class), see the application note “What Is A Discrete Particle Size Distribution?”.
**Porous particles that have a lot more surface area. Surfacearea weighted size distributions should not be calculated from either number- or volume-weighted ones unless it is certain the porosity is unimportant. This is the case for liquid droplet particles but not the case for many oxide particles.
